路基是路面、钢轨的基础,是整个道路结构中的重要单元体,其性能稳定与否对于整个道路的服役寿命及车辆的安全运行具有十分重要的影响。 路基湿度(含水率)状态是影响路基力学分析和长期性能的重要因素。传统路基力学性能分析时,往往假设路基是完全干燥的弹性体,或是完全饱水的多孔介质。实际服役条件下的路基的含水量受到当地的气候、水文状况及其排水措施的有效性的影响十分大,路基的含水率一直在变化中。大量工程实践表明,路基在填筑和营运时往往处于非饱和状态。因此,利用非饱和土理论来研究路基的力学特性和长期性能演化十分必要。
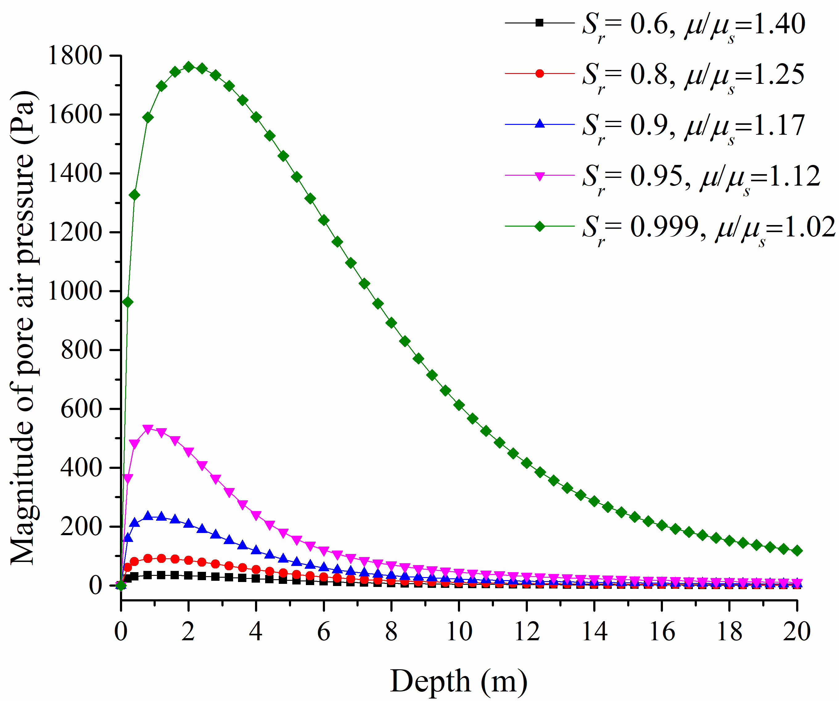
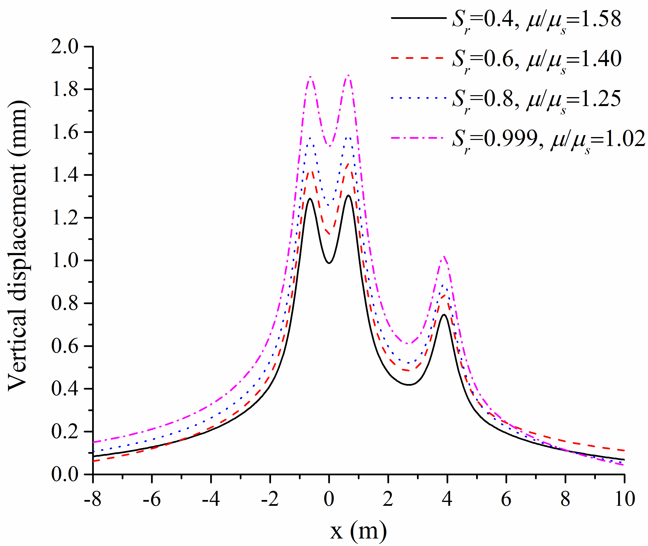
中国科学院武汉岩土力学研究所路基工程学科方向组科研人员在饱和土的Biot波动理论的基础上,引入Bishop有效应力公式,考虑土体固-液-气的三相耦合,结合现场实测的路基湿度状态和分布规律,建立了高速交通荷载作用下非饱和土的实用波动方程组,该模型可以很好地蜕化到经典Biot波动模型。同时自主开发了相关模拟软件,用于分析不同交通荷载形式(列车、汽车、飞机)下层状非饱和土路基的动力响应。进一步开展小比例模型试验测试和现场不同湿度情况下的路基动力响应测试,通过理论分析结果与试验数据的比较,验证了模型和方法的可靠性。研究结果表明:路基湿度的改变从两个方面引起其力学响应的变化,(1)湿度变化本身会引起路基动应力与变形的改变,这是由于湿度场与应力场与变形场的耦合作用;(2)湿度改变会引起路基模量发生变化,从而间接改变其应力和变形响应。因此,在路基动力分析和长期性能研究中,其非饱和特性的影响不可忽略。
上述成果发表于《International Journal for Numerical and Analytical Methods in Geomechanics》、《Soil Dynamics and Earthquake Engineering》、《Transportation Geotechnics》等期刊上。该研究成果主要受中科院STS项目(KFJ-STS-ZDTP-037)和湖北省杰出青年基金(No. 2017CFA056)资助。
图1. 列车-轨道-非饱和路基力学响应模型
图2. 非饱和路基现场注水试验 图3. 非饱和路基长期性能监控
图4. 路基饱和度对动位移的影响

图5. 路基饱和度对孔隙气压力的影响
附件下载: