实验室在固废基岩土工程加固材料领域取得新进展

发布时间:2020-11-05 18:42

  “固废资源化”是国家生态文明建设的重大战略需求,绿色低碳发展是生态文明建设的基本途径。随着快速的城市化和工业化进程,近年来产生了大量富含有机污染物与病原体的市政污泥。此类固废的传统处置方式包括填埋、焚烧等,对环境产生巨大负荷。然而,污泥限氧热解可减少温室气体排放并实现碳的稳定储存,产物生物炭的高比表面积、丰富的官能团和多界面反应位点,为污泥资源化利用提供了经济环保的出路。

  武汉岩土所环境土力学与工程学科方向组科研团队采用常规限氧热解污泥得到多孔生物炭,将其作为绿色工程材料与水泥复配,制备了岩土工程固化用生态胶凝材料。污泥生物炭在反应体系中降低了局部水灰比,起到内部养护作用,并提供更多成核位点,促进水化产物的生成,从而增强了复合材料机械性能(如图1)。尽管污泥生物炭在土壤改良、环境修复以及水处理等领域得到广泛应用,然而,作为工程材料应用于岩土工程领域尚属首次探索。污泥生物炭生态水泥的制备与使用,为污泥资源化利用和水泥行业可持续发展提供了新思路。

  生物炭胶凝材料的性能取决于原材料的类型和热解温度工艺,污泥的热化学特性表明,160-580°C的温度范围是主要和有效的热解区。因此,在不同温度工艺制备污泥生物炭的比表面积、孔隙特征随温度变化具有较大差异性。H/C和O/C比值揭示了污泥生物炭具有稳定的化学和生物性质及较强的亲水能力。这些特征为污泥生物炭作为工程材料的应用提供了条件。

  为探明生物炭水泥复合材料的性能与水化反应过程,采用多尺度表征手段揭示了固化体的力学强度、水化产物以及水化程度演化规律(如图2,3),优化得到了污泥生物炭水泥的最佳制备工艺(500℃热解温度,60min保温时间)。

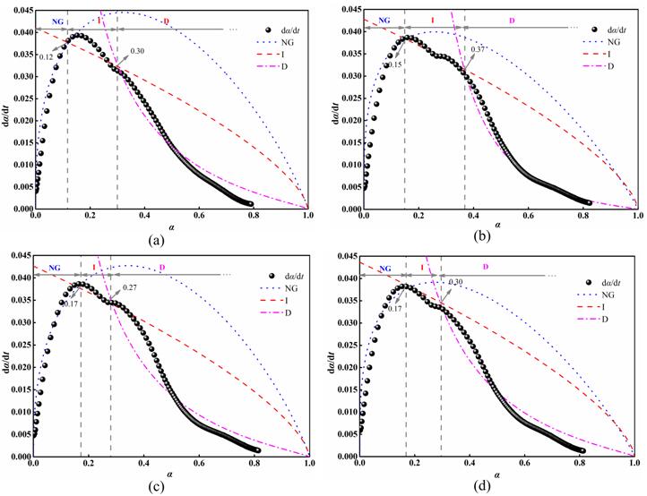
  为进一步揭示生物炭水泥复合材料的水合机理,采用等温量热法,确定了水化反应过程水化反应热流曲线。尽管不同温度工艺的反应体系具有相似的放热特性,但最优的温度工艺使复合材料具有相对较高的放热速率、累计水化热和较短的休眠期。表明了生物炭的加速水化效应。此外,采用Krstulovic Dabic动力学模型很好地模拟了污泥生物炭的水合过程(如图4),在生物炭-水泥复合体系中揭示了其水合作用机制:NG-I-D。最优工艺生物炭提供的成核位点最多,在各反应阶段的反应速率常数最高,并且具有最短的相边界反应阶段(I)。

  结合生物炭优势和复合材料固稳特性,污泥生物炭生态水泥应用潜力巨大。该材料在污染泥?土?渣固稳修复,建材利用领域具有广阔应用前景。

  本研究成果已经在线发表于国际工程技术领域TOP期刊“Construction and Building Materials”(IF:4.419)。第一作者为博士生陈新,通讯作者为李江山研究员和薛强研究员。该研究成果得到了国家杰出青年科学基金(No. 51625903),国家重点研究与发展计划(No. 2019YFC1804002),国家自然科学基金委与香港研究资助局联合科研资助合作研究项目(No.51861165104),国家科学基金会科学仪器基础研究专项基金(No.51827814)等共同资助。

  论文题目:Sludge biochar as a green additive in cement-based composites: Mechanical properties and hydration kinetics

  论文链接:https://doi.org/10.1016/j.conbuildmat.2020.120723 

   

  图1 污泥生物炭生态水泥制备工艺图

   

  图2 不同工艺污泥生物炭水泥复合材料机械强度特征

   

  图3 不同工艺污泥生物炭水泥复合材料水合程度

   

  图4 不同工艺污泥生物炭水泥复合材料水化动力学曲线

  (文/图  环境土力学与工程学科方向组)

附件下载:
  • LRSM@whrsm.ac.cn
  • 地址:湖北省武汉市武昌区水果湖街小洪山2号