国重室高速铁路车辆-轨道-非饱和路基系统动力学研究取得进展

发布时间:2021-04-08 18:55

  高速铁路车辆、轨道、层状路基系统作为一个紧密耦合的体系在列车荷载作用下产生振动响应,路基的动力稳定性对整个道路结构服役寿命及列车的安全运营至关重要。

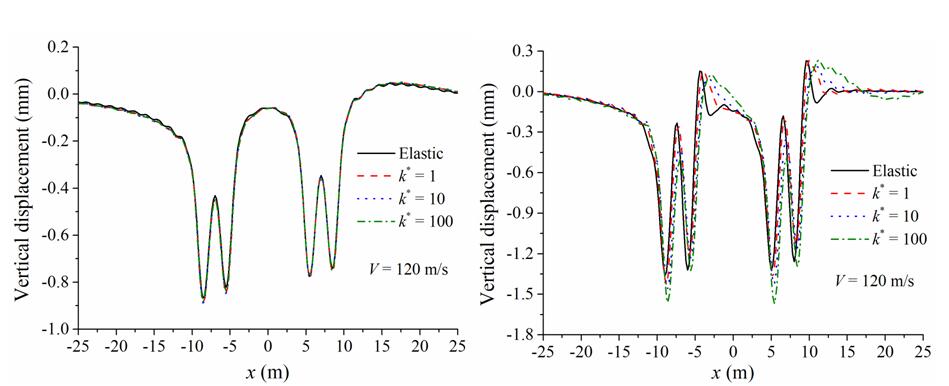
  科研人员通过引入Bishop有效应力公式,在饱和土体的Biot波动理论的基础上建立了能考虑土体固-液-气三相耦合的非饱和路基动力学模型。将此非饱和路基模型与道砟,及由铁轨、枕木组成的轨道模型耦合,最终建立了完整的高速铁路路基系统模型,通过实测数据和已有饱和路基模型验证了该模型的有效性。全面讨论了路基土体饱和度、列车速度和土体渗透系数对高速铁路系统振动位移、加速度以及孔隙压力的影响。研究发现,路基土体饱和度对整体响应的幅值和频谱分布有较大影响。当土体饱和度较低时,土体渗透系数对整体动力响应影响较小,非饱和路基的性质接近于弹性模型;而当饱和度较高时路基的非饱和特性更加明显,土体渗透系数增加会引起竖向位移的显著增大,因此路基的非饱和特性在高速铁路动力稳定性研究时十分重要。

  上述研究获得了国家自然科学基金(41672312, 41972294)和湖北省杰出青年基金(2017CFA056)的联合资助,相关成果“A Semi-analytical Solution for Dynamic Responses of Railway Track System on Unsaturated Poroelastic Half-space Subjected to A Moving Train Load”发表在International Journal of Geomechanics上。

  论文链接:https://ascelibrary.org/doi/10.1061/%28ASCE%29GM.1943-5622.0001955

   

  图1 高速铁路车辆-轨道-非饱和路基系统模型图

   

  图2 土体饱和度对路基顶部竖向位移的影响

   

  图3 土体饱和度对路基顶部竖向位移频谱分布的影响

   

  图4 不同土体饱和度下渗透系数对路基竖向位移的影响

附件下载:
  • LRSM@whrsm.ac.cn
  • 地址:湖北省武汉市武昌区水果湖街小洪山2号