国重室机场跑道振动特性研究取得进展

发布时间:2021-04-15 19:01

  飞机起降过程中的反复循环荷载是引起机场跑道不均匀变形的重要因素之一,由移动飞机荷载引起的振动会使机场跑道路基产生累积塑性变形,从而导致道面结构破坏,影响飞机运行的安全性和舒适性。因此研究机场跑道在飞机荷载作用下的振动特性十分必要。

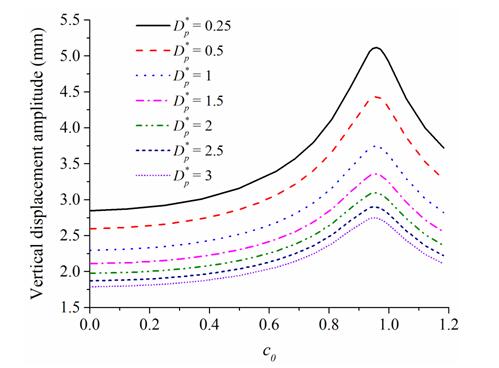
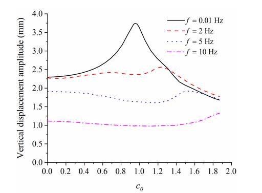
  岩土力学与工程国家重点实验室路基工程学科方向组科研人员将机场道面简化为Kirchhoff板、基层简化成均质弹性介质,考虑路基为固-液-气三相耦合的非饱和土体,构建了完整的非饱和土机场跑道动力学分析模型。通过自主开发的软件对模型进行了求解,研究了A380大型客机起降运行过程中,跑道路基土体饱和度、飞机移动速度、荷载振动频率等对跑道振动特性的影响。研究发现,当路基土体饱和度增加时,跑道系统的临界速度显著下降,最大竖向位移振动幅度增加;临界速度主要取决于路基土体的模量,增加路面模量可以降低最大竖向位移,而临界速度变化不明显。该研究成果能为机场跑道结构长期稳定设计和运维提供科学依据。

  上述研究获得了国家自然科学基金(41672312, 41972294)和湖北省杰出青年基金(2017CFA056)的联合资助,相关成果“Vibration Characteristics of Unsaturated Runways Under Moving Aircraft Loads”发表在International Journal of structural stability and dynamics上。

  论文链接:https://www.worldscientific.com/doi/abs/10.1142/S0219455421500656

   

  图1 机场跑道动力学模型示意图

   

  图2 土体饱和度对系统临界速度和路基竖向位移幅值的影响

   

  图3 飞机振动频率对系统临界速度和路基竖向位移幅值的影响

   

  图4 道面模量对系统临界速度和路基竖向位移幅值的影响

附件下载:
  • LRSM@whrsm.ac.cn
  • 地址:湖北省武汉市武昌区水果湖街小洪山2号