国重室在致密砂岩在不同饱水条件下破裂成核的前兆特征研究获进展

发布时间:2021-07-18 19:08

  孔隙流体对脆性岩石的破坏特征具有明显影响。在诸多涉及到流体注入储层岩石的地质工程项目中,例如二氧化碳地质利用与封存、储层压裂、地热开采等,充分了解孔隙流体对岩石物理力学特征的影响非常必要。岩石与流体的相互作用受到矿物成分、应力环境、流体类型、构造条件等多种因素的影响。科研人员之前开展了大量干燥和饱和岩石的物理力学特征对比研究,但主要集中在强度弱化及本构模型的转变,对于孔隙流体对微裂纹萌生及扩展规律的认识报道相对较少。

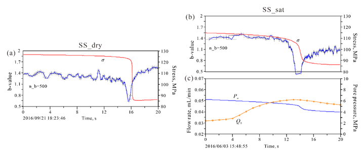
  针对这一问题,中国科学院武汉岩土力学研究所二氧化碳地质封存组科研人员开展了致密砂岩分别在干燥、水饱和岩石条件下的三轴压缩破坏实验。对于水饱和岩石,通过高精度柱塞泵精确控制岩石上下两端的排水条件,岩石上下两端分别处于不排水及排水条件。实验过程中,通过超声波测速、声发射监测、应力—应变响应等多手段联合监测岩石的破裂成核过程。结果表明,干燥、水饱和两种条件下岩石在力学行为、声发射活动特征、超声波速度及断层成核过程均存在显著差异。饱和岩石存在水弱化影响,其峰值强度及弹性模量均低于干燥岩石,但存在明显的非弹性轴向变形和应变软化现象。超声波速度降低与裂纹诱发的膨胀有关,但在饱和岩石中,水的存在会抵消这一影响。不同的排水条件影响岩石的破坏特征,膨胀硬化及孔隙流体扩散的竞争机制是影响岩石断层成核的主要因素。相对于干燥岩石,饱和岩石延长了破裂成核过程,降低了破裂速度。岩石动态破裂特征可通过应变软化、加速的声发射速率、减小的b值和孔隙压力(不排水条件)或增大的注水速率(排水条件)等参数捕捉到前兆信息,这为相关地质工程的风险管理提供了技术支撑。

  本研究成果得到国家自然科学基金(41902297和41872210)、岩土力学与岩土工程国家重点实验室开放基金(Z017006)和湖北省自然科学青年基金(2018CFB292)的共同资助。

  论文链接:https://www.sciencedirect.com/science/article/pii/S0013795221002659

   

  图1 干燥岩石的破裂特征。(a)岩石三轴压缩破坏过程的应力—应变曲线;(b)岩石破裂成核过程的应力响应;(c)岩石破裂成核过程的声发射速率及声发射数;(d)岩石破裂成核过程的b值变化;(e)不同阶段声发射定位结果;(f)破坏后样本照片;(g)破坏后样本的CT扫描结果。

   

  图2 饱和岩石的破裂特征。(a)岩石破裂成核过程应力的轴向应力、孔隙压力变化;(b)排水端的注水速率及泵内剩余体积;(c)岩石破裂成核过程的声发射速率及声发射数;(d)岩石破裂成核过程的b值变化;(e)不同阶段声发射定位结果。

   

  图3 (a)干燥岩石成核阶段的轴向应力及b值随时间的变化;(b)饱和岩石成核阶段的轴向应力及b值随时间的变化;(c)饱和岩石不排水端孔隙压力及排水端注水速率随时间的变化。

附件下载:
  • LRSM@whrsm.ac.cn
  • 地址:湖北省武汉市武昌区水果湖街小洪山2号