盐渍土是指土壤中盐分浓度过高,具备盐胀、溶陷和腐蚀等特殊工程性质的一类土体,其广泛分布于我国干旱及半干旱地区。土壤中溶解的盐分因水分蒸发或水盐迁移而在地表附近逐渐聚集,形成显著的盐层或盐结晶,造成盐胀现象。盐渍土浸水后由于盐晶溶解或侵蚀作用,又产生溶陷现象。反复的盐胀和溶陷导致盐渍土地区道路工程、水利工程、建筑工程等病害和服役安全问题。如果采用换填优良填料、加强支档结构等传统方法,则会大幅度增加工程造价。因此,盐渍土地区工程建设和长期性能保障面临诸多挑战。
对此,中国科学院武汉岩土力学研究所路基工程研究团队提出两类盐渍土资源化利用方案:(1)采用固废对盐渍土就地固化改性,消除盐胀;(2)充分利用盐渍土,开发盐渍土基泡沫多孔隔断层,提出盐渍土路基“以盐治盐”新技术。
研究团队依托新疆乌鲁木齐绕城高速公路工程,开展了盐渍土路基填料改良技术研究,充分利用新疆地区广泛存在的粉煤灰、矿渣等固废,联合聚丙烯酰胺,研发了一种有机无机相结合的盐渍土改性剂。试验表明粉煤灰矿渣通过水化水解反应,生成多种水化产物,填充孔隙、增加密实度;聚丙烯酰胺则通过胶体本身的黏性,将水化产物和土颗粒联结形成空间网状结构,三者联合固化可显著抑制盐渍土盐胀和溶陷、提升力学性能。
此外,研究团队还提出盐渍土基泡沫多孔隔断层新技术,充分利用工程沿线广泛分布的盐渍土,替代传统的两布一膜,可显著降低工程造价。该材料由盐渍土、胶凝材料、水、泡沫组成,具有多孔、隔热、轻质等结构特征。研究结果表明,通过在路床底部设置一定厚度的泡沫多孔隔断层,可起到良好的隔盐和保温效果。在温度梯度作用下,盐渍土路基内水盐向上迁移,盐分在泡沫多孔隔断层内部聚集,而其多孔结构又提供了储盐和盐胀空间。另外,由于多孔结构较低的热传导性,导致隔断层有较好的保温效果,进一步限制了盐渍土内部的水盐向上迁移,从而达到盐渍土资源化利用及保障路基稳定性的目的。该技术已成功应用于乌鲁木齐绕城高速公路,现场示范工程长期监测结果显示利用效果良好。
研究成果发表于《Bulletin of Engineering Geology and the Environment》、《岩石力学与工程学报》、《岩土力学》等期刊,授权发明专利3项。研究工作得到了国家自然科学基金项目(42477205)、湖北省自然科学基金创新群体项目(2023AFA019)、岩土力学与工程安全重点实验室揭榜挂帅项目(SKLGME-JBGS2403)的资助。
论文链接:
https://link.springer.com/article/10.1007/s10064-024-03938-w
https://link.cnki.net/urlid/42.1397.O3.20241210.1336.001
http://ytlx.whrsm.ac.cn/CN/10.16285/j.rsm.2023.0788

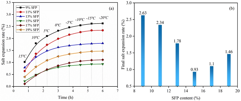
图1 不同固化剂掺量下土样的盐胀量

图2 水盐迁移作用下试样垂直变形对比:(a) 无隔断层;(b)有隔断层

图3 隔断层内部盐分储存及分布SEM图

图4 盐渍土基泡沫多孔隔断层现场浇筑
附件下载: